Contoh Soal & Jawaban PTS/STS Kelas 10 SMA IPS Semester Genap 2026

Artikel ini berisi beberapa soal latihan Penilaian Tengah Semester (PTS) semester genap 2026 disertai dengan jawabannya untuk kelas 10 IPS.
—
MATEMATIKA
Topik: Fungsi
Subtopik: Aljabar Fungsi II
Level: LOTS
1. Diberikan f(x) = x3 + 1 dan g(x) = 3x – 1. Nilai dari (f⋅g)(-2) dan (f/g)(-1) secara berturut-turut adalah ….
A. -49 dan -1
B. -14 dan -1
C. -14 dan 0
D. 49 dan -1
E. 49 dan 0
Kunci Jawaban: E
Pembahasan:
Dari soal, diberikan f(x) = x3 + 1 dan g(x) = 3x – 1. Akan dicari nilai dari (f⋅g)(-2) dan (f/g)(-1). Perhatikan bahwa:

Kemudian, perhatikan bahwa:

Akibatnya, nilai dari (f⋅g)(-2) dan (f/g)(-1) secara berturut-turut adalah 49 dan 0.
Jadi, jawaban yang tepat adalah E.

Topik: Fungsi Komposisi dan Invers
Subtopik: Fungsi Komposisi
Level: MOTS
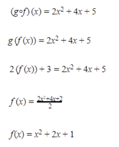
2. Diberikan fungsi f : R –> R, g : R –> R dengan (g∘f)(x) = 2x2 + 4x + 5 dan g(x) = 2x + 3. Persamaan fungsi f(x) adalah ….
A. x2 + 2x + 1
B. x2 + 2x + 2
C. 2x2 + x + 2
D. 2x2 + 4x + 2
E. 2x2 + 4x – 2
Kunci Jawaban: A
Pembahasan:
Perhatikan bahwa

Dengan demikian, jawaban yang tepat adalah A.
Baca Juga: Apakah Fungsi Invers Itu?

Topik: Fungsi Komposisi dan Invers
Subtopik: Fungsi dan Invers
Level: MOTS
3. Diketahui sebuah fungsi f(x) = 2x – 2, x ∈ R. Jika f-1(2) = k, maka nilai k adalah ….
A. -4
B. -2
C. 1
D. 2
E. 4
Kunci Jawaban: D
Pembahasan:
Dengan menggunakan konsep invers, kita dapatkan sebagai berikut.

Diketahui bahwa f(x) = 2x – 2, maka didapat perhitungan sebagai berikut:
f(k) = 2k – 2
2 = 2k – 2
2k = 4
k = 2
Dengan demikian, nilai k adalah 2.
Jadi, jawaban yang tepat adalah D

Topik: Fungsi Komposisi dan Invers
Subtopik: Komposisi dan Invers Fungsi
Level: HOTS
4. Diketahui f dan g merupakan fungsi yang mempunyai invers. Jika f(gx) = x – 4 dan g(x – 2) = x + 1, maka nilai dari f-1(2) + g-1(2) adalah ….
A. 5
B. 6
C. 7
D. 8
E. 9
Kunci Jawaban: D
Pembahasan:
Pertama-tama, akan dicari fungsi g(x).
Perhatikan bahwa:
g(x – 2) = x + 1
g(x – 2) = (x – 2) + 3
g(u) = u + 3
atau dapat ditulis juga sebagai g(x) = x + 3.
Akibatnya, kita peroleh hasil sebagai berikut:
f(g(x)) = x – 4
f(x + 3) = x – 4
f(x + 3) = x + 3 – 7
f(u) = u – 7
atau dapat ditulis juga sebagai f(x) = x – 7.
Kemudian, perhatikan bahwa:
g(x) = x + 3
y = x + 3
x = y – 3
g-1 = x – 3
Akibatnya, diperoleh g-1 = 2 – 3 = -1.
Lalu, perhatikan bahwa:
f(x) = x – 7
y = x – 7
x = y + 7
f-1(x) = x + 7
Akibatnya, diperoleh f-1(2) = 2 + 7 = 9.
Dengan demikian, didapat f-1(2) + g-1(2) = -1 + 9 = 8.
Jadi, jawaban yang tepat adalah D.

Topik: Fungsi invers
Subtopik: Sifat-Sifat Invers Fungsi
Level: HOTS
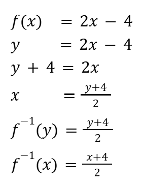
5. Sebuah grafik fungsi f memotong sumbu-x di titik (2, 0) dan memotong sumbu-y di titik (0, -4). Jika f adalah fungsi linear, maka invers dari fungsi f adalah ….

Kunci Jawaban: E
Pembahasan:
Diketahui bahwa fungsi f adalah fungsi linear sehingga fungsi f berbentuk f(x) = px + q.
Dari soal, dapat diketahui bahwa fungsi f melalui titik (2, 0) dan (0, -4) sehingga didapat f(2) = 0 dan f(0) = -4.
Dari f(0) = -4, didapat perhitungan sebagai berikut.
f(0) = -4
p(0) + q = -4
q = -4
Dari f(2) = 0, didapat perhitungan sebagai berikut.
f(2) = 0
p(2) + q = 0
2p – 4 = 0
2p = 4
p = 2
Dengan demikian, didapat fungsi f yaitu f(x) = 2x – 4.
Misalkan y = f(x) sehingga x = f-1(y).
Perhatikan perhitungan berikut!

Jadi, jawaban yang tepat adalah E.

Topik : Fungsi dan Komposisi dan Invers
Subtopik : Fungsi Invers
Level Kognitif : Hard
6.

Kunci Jawaban: E
Pembahasan:


—
Mau belajar lebih dalam dengan berlatih soal-soal Matematika? Yuk gabung di Ruangguru Privat Matematika. Kamu bisa banget konsultasi langsung dengan para Master Teacher berpengalaman yang akan bikin kamu makin mengerti tentang materi ini.
Belajar nggak cuma menyenangkan, tapi kamu juga bakal diajari konsepnya sampai paham! Para pengajar di Ruangguru Privat juga sudah terstandarisasi kualitasnya, loh. Kamu juga bisa pilih nih, mau diajarkan secara langsung (offline) atau daring (online). Fleksibel, kan? Untuk info lebih lanjut, cuss klik link berikut!

EKONOMI
Topik: Bank Sentral serta Alat dan Sistem Pembayaran
Subtopik: Bank Sentral
1. Kebutuhan PT Kurnia Nyata melakukan penawaran efek kepada masyarakat di bursa efek dengan tujuan mendapatkan uang untuk menjalankan usahanya. Berdasarkan informasi di atas, PT Kurnia Nyata merupakan salah satu pelaku pasar modal, yaitu ….
A. investor
B. pemeringkat efek
C. emiten
D. perusahaan efek
E. broker
Kunci Jawaban: C
Pembahasan:
Terdapat beberapa pelaku pasar modal, salah satunya adalah emiten. Emiten merupakan badan usaha (perseroan terbatas) yang menerbitkan saham untuk menambah modal, atau menerbitkan obligasi untuk mendapatkan utang dari para investor di bursa efek. Jika dilihat berdasarkan soal, PT Kurnia Nyata termasuk sebagai emiten karen merupakan Perseroan Terbatas (PT) dan menerbitkan saham untuk mendapatkan modal.
Jadi, jawaban yang tepat adalah C.
Baca Juga: Bank Sentral: Pengertian, Sejarah, Tugas & Wewenang

Topik: Bank Sentral serta Alat dan Sistem Pembayaran
Subtopik: Bank Sentral
2. Bank Indonesia merupakan satu-satunya lembaga yang berwenang untuk mengeluarkan dan memusnahkan uang dari peredaran. Berdasarkan pernyataan tersebut, maka tugas yang dijalankan Bank Indonesia adalah ….
B. menjaga stabilitas sistem keuangan
C. mengatur dan menjaga kelancaran sistem
D. menyehatkan perbankan Indonesia
E. mengatur dan mengawasi bank Indonesia
Kunci Jawaban: C
Pembahasan:
Bank sentral adalah lembaga yang bertanggung jawab atas kebijakan yang berkaitan dengan keuangan atau kebijakan moneter di negara tertentu. Salah satu tugas bank sentral yaitu mengatur dan menjaga kelancaran sistem pembayaran. Maksudnya Bank Indonesia sebagai bank sentral merupakan satu-satunya lembaga yang berwenang untuk mengeluarkan, mengedarkan, mencabut, menarik dan memusnahkan uang dari peredaran.
Jadi, jawaban yang tepat adalah C.

Topik: Bank Sentral serta Alat dan Sistem Pembayaran
Subtopik: Sejarah Uang
3. Barter adalah suatu sistem kegiatan ekonomi masyarakat yang kegiatan produksi dan perdagangannya masih sangat sederhana. Berikut ini salah satu kesulitan yang dirasakan dalam sistem barter adalah ….
A. sulit memperoleh barang yang akan ditukarkan
B. nilai barang yang diperdagangkan harus relatif sama
C. pertukaran harus melalui perantara
D. sulit menentukan waktu untuk penyerahan barang karena menunggu pasaran
E. sulit menentukan nilai tukar barang yang benar-benar seimbang karena nilainya tidak sama
Kunci Jawaban: E
Pembahasan:
Dalam sejarah uang, proses pertukaran yang pertama kali dilakukan adalah dengan cara barter atau tukar menukar barang dengan barang. Misalnya, nelayan menukarkan ikan hasil tangkapannya dengan ubi jalar hasil kebun petani di lereng bukit. Namun, lama kelamaan barter mengalami beberapa kesulitan, terutama kesulitan dalam menentukan nilai tukar yang disepakati sehingga sistem ini tidak efektif untuk kegiatan ekonomi.
Jadi, jawaban yang tepat adalah E.
Baca Juga: Pengertian Uang beserta Fungsi, Jenis, Syarat, dan Sejarahnya

Topik: Bank Sentral serta Alat dan Sistem Pembayaran
Subtopik: Alat Pembayaran Non Tunai
4. Surat perintah kepada bank untuk memindahkan sejumlah uang kepada rekening orang atau badan yang ditunjuk oleh nasabah disebut ….
A. deposito
B. cek
C. giro
D. wesel
E. obligasi
Kunci Jawaban: C
Pembahasan:
Terdapat beberapa alat pembayaran nontunai, yaitu kartu debit, kartu kredit, cek, giro, dsb. Giro merupakan suatu istilah perbankan untuk suatu cara pembayaran yang hampir merupakan kebalikan dari sistem cek, yaitu berupa surat perintah untuk memindahbukukan sejumlah uang dari rekening seseorang kepada rekening lain yang ditunjuk surat tersebut.
Jadi, jawaban yang tepat adalah C.
Baca Juga: Mengenal Jenis-Jenis Alat Pembayaran Nontunai

Topik: Bank Sentral serta Alat dan Sistem Pembayaran
Subtopik: Sejarah Uang
5. Dalam sejarah perkembangan uang, penggunaan uang logam mulia memiliki banyak kelemahan. Salah satunya karena berat dan membutuhkan ruang yang besar untuk dibawa-bawa. Hal ini membuat manusia mencari alternatif uang lain yang lebih mudah dibawa kemana-mana seperti uang kertas. Berdasarkan penjelasan tersebut, uang kertas memenuhi salah satu syarat uang, yaitu .…
A. divisibility
B. portable
C. uniformity
D. durability
E. stability of value
Kunci Jawaban: B
Pembahasan:
Salah satu syarat uang adalah portable atau mudah dibawa. Dalam sejarah perkembangan uang, penggunaan uang kertas dilandasi oleh beberapa kelemahan dari penggunaan uang sebelumnya, yaitu uang logam mulia yang membutuhkan ruang yang besar untuk dibawa-bawa. Oleh karena itu, manusia mencari alternatif uang lain yang lebih mudah dibawa kemana-mana, sampailah pada penggunaan uang kertas. Uang kertas memenuhi satu syarat uang, yaitu mudah dibawa kemana-mana atau disebut dengan portable.
Jadi, jawaban yang tepat adalah poin B.

Topik : Lembaga Keuangan Non Perbankan
Subtopik : Pegadaian
Level Kognitif : Medium
6. Perhatikan hal berikut!
(1) sertifikat tanah;
(2) sertifikat rumah;
(3) hasil pertanian;
(4) hewan ternak;
(5) kendaraan bermotor;
merupakan barang yang diperbolehkan untuk jaminan di pegadaian ditunjukkan dengan nomor ….
- (1), (2), dan (3)
- (1), (2), dan (4)
- (1), (2), dan (5)
- (2), (3), dan (4)
- (3), (4), dan (5)
Kunci Jawaban: C
Pembahasan:
Barang yang diperbolehkan untuk jaminan di pegadaian sebagai berikut.
(1) Sertifikat tanah
(2) Sertifikat rumah
(3) Kendaraan bermotor
(4) Perhiasan
(5) Alat elektronik
Jadi, jawaban yang benar adalah poin C.
Baca Juga: Pegadaian: Pengertian, Fungsi, Peran, dan Produknya

GEOGRAFI
Topik: Dinamika Litosfer
Subtopik: Tektonisme
Perhatikan gambar di bawah ini!
1. Peristiwa yang ditunjukkan oleh gambar di atas adalah ….

A. gerak epirogenesa negatif
B. gerak orogenetik
C. gerak epirogenesa positif
D. lipatan
E. patahan
Kunci Jawaban: C
Pembahasan:
Gerak epirogenesa dibagi menjadi dua jenis, yaitu gerak epirogenesa negatif dan gerak epirogenesa positif. Jenis gerakan yang terdapat pada soal adalah epirogenesa positif. Gerak epirogenesa positif adalah gerak turunnya daratan sehingga menyebabkan permukaan air laut seakan-akan naik. Sementara itu, gerak epirogenesa negatif adalah gerak naiknya daratan sehingga permukaan air laut seakan-akan menjadi turun.
Jadi, jawaban yang tepat adalah C.
Baca Juga: Tektonisme: Pengertian, Jenis, Bentuk & Dampaknya

Topik: Dinamika Litosfer
Subtopik: Sedimentasi
2. Sedimentasi yang banyak terjadi di Pantai Parangkusumo Bantul adalah ….
A. marine
B. glasial
C. aeolis
D. fluvial
E. aeris
Kunci Jawaban: C
Pembahasan:
Sedimentasi yang banyak terjadi di Pantai Parangkusumo Bantul adalah sedimentasi yang disebabkan oleh angin atau biasa disebut sedimentasi aeolis. Sedimentasi aeolis banyak terjadi di wilayah gurun atau pantai. Angin mengangkut dan mengendapkan pasir di suatu tempat secara bertahap, sehingga membentuk gundukan pasir yang disebut gumuk pasir.
Jadi, jawaban yang tepat adalah C.
Baca Juga: Litosfer: Pengertian, Struktur, Batuan Penyusun, dan Fungsinya
Topik: Dinamika Atmosfer
Subtopik: Lapisan Atmosfer
3. Lapisan stratosfer adalah lapisan yang terletak di atas lapisan troposfer. Salah satu karakteristik lapisan ini adalah suhu udara yang makin meningkat seiring dengan bertambahnya ketinggian tempat. Faktor yang menyebabkan terjadinya hal ini adalah ….
A. adanya fenomena gradien termometrik di lapisan ini
B. kerapatan udara di lapisan ini makin renggang
C. letaknya makin jauh dari permukaan bumi
D. adanya penyerapan radiasi ultraviolet dari Matahari
E. adanya radiasi dari sinar kosmik luar angkasa
Kunci Jawaban: D
Pembahasan:
Salah satu karakteristik lapisan stratosfer adalah adanya kenaikan temperatur beriringan dengan naiknya ketinggian. Faktor yang menyebabkan hal ini terjadi adalah adanya penyerapan radiasi ultraviolet (UV) dari matahari oleh molekul ozon yang ada di lapisan stratosfer. Penyerapan radiasi UV ini menyebabkan udara di lapisan stratosfer makin meningkat seiring dengan bertambahnya ketinggian tempat.
Jadi, jawaban yang tepat adalah D.
Baca Juga: 5 Macam Lapisan Atmosfer Bumi, Karakteristik, Fungsi & Ketinggiannya

Topik: Dinamika Atmosfer
Subtopik: Cuaca dan Iklim
4. Rogu sedang pergi ke Prancis pada bulan April untuk magang di kantor kedutaan Indonesia untuk Prancis. Ia pulang kembali ke Indonesia tiga bulan kemudian. Musim yang sedang terjadi di Prancis saat Rogu tiba di sana dan pulang kembali ke Indonesia adalah ….
A. musim semi dan musim panas
B. musim panas dan musim gugur
C. musim gugur dan musim dingin
D. musim dingin dan musim semi
E. musim dingin dan musim panas
Kunci Jawaban: A
Pembahasan:
Prancis terletak pada wilayah lintang tengah pada bumi belahan utara yang memiliki empat musim. Rogu tiba di Prancis pada bulan April. Pada periode 21 Maret – 21 Juni, negara-negara di belahan bumi utara sedang mengalami musim semi. Tiga bulan kemudian (bulan Juli), Rogu pulang kembali ke Indonesia. Pada saat itu (21 Juni – 23 September), Prancis sedang mengalami musim panas karena Matahari berada di belahan bumi utara.
Jadi, jawaban yang tepat adalah A.

Topik: Dinamika Atmosfer
Subtopik: Cuaca dan Iklim
5. Perhatikan faktor-faktor di bawah ini!
(1) Sudut datangnya sinar matahari
(2) Jarak matahari
(3) Keadaan awan
(4) Lamanya sinar matahari
(5)Kelembapan udara
Faktor yang dapat memengaruhi suhu udara di suatu tempat ditunjukkan oleh nomor ….
A. (1), (2), dan (3)
B. (2), (3), dan (4)
C. (1), (3), dan (4)
D. (1), (4), dan (5)
E. (2), (3), dan (5)
Jawaban: C
Pembahasan:
Faktor-faktor yang dapat memengaruhi suhu udara suatu tempat adalah sebagai berikut.
- Sudut datangnya sinar matahari
Sinar matahari yang membentuk sudut tegak lurus terhadap bumi menyebabkan wilayah yang mendapat penyinarannya terasa lebih panas dibandingkan wilayah yang mendapatkan sinar matahari dengan sudut penyinaran yang lebih condong.
- Lamanya penyinaran matahari
Makin lama matahari menyinari permukaan bumi, suhu udara akan makin tinggi.
- Keadaan awan
Makin banyak awan yang menutupi permukaan bumi, suhu akan terasa lebih sejuk karena sinar matahari terhalang oleh awan.
- Ketinggian tempat suatu wilayah
Makin tinggi suatu tempat, suhunya akan makin rendah.
- Letak astronomis suatu wilayah
Letak astronomis suatu wilayah, tepatnya letak lintangnya, akan memengaruhi sudut datang matahari. Wilayah yang berada pada lintang khatulistiwa akan memiliki suhu udara yang lebih tinggi dibandingkan wilayah yang berada di lintang lain karena sudut datang mataharinya cenderung tegak lurus.
Jadi, jawaban yang tepat adalah C.
Baca Juga: Perbedaan Cuaca dan Iklim beserta Unsur-Unsurnya

Topik : Dinamika Litosfer
Subtopik : Batuan
Level Kognitif : Medium
6. Perhatikan nama-nama batuan berikut!
(1) Obsidian
(2) Basalt
(3) Kerikil
(4) Granit
(5) Stalaktit
Berdasarkan nama batuan di atas, contoh dari batuan beku ditunjukkan oleh nomor ….
- (1), (2), dan (3)
- (1), (2), dan (4)
- (1,) (4), dan (5)
- (3), (4), dan (5)
- (2), (3), dan (4)
Kunci Jawaban: B
Pembahasan:
Batuan beku merupakan batuan yang terbentuk dari magma yang membeku dan menjadi padat karena proses pendinginan. Batuan beku dikelompokkan menjadi tiga jenis, yaitu batu beku dalam, batu beku luar, dan batu beku gang. Obsidian dan basalt termasuk batu beku luar, sedangkan granit merupakan batu beku dalam. Sementara itu, kerikil dan stalaktit merupakan contoh batuan sedimen.
Jadi, pilihan jawaban yang tepat adalah B.
—
Apakah kamu tahu, ruangbelajar punya fitur yang namanya ADAPTO, lho! Di ADAPTO, kamu bisa memilih pembahasan lebih dalam, agar kamu lebih paham, dan pastinya makin pintar! Langsung aja cek fitur ini di ruangbelajar, ya!

SEJARAH
Topik: Indonesia Zaman Hindu-Buddha
Subtopik: Teori Masuknya Agama Hindu-Buddha
Level: Easy
1. Menurut teori Brahmana, golongan yang menyebarkan agama Hindu di Nusantara adalah ….
B. petani
C. prajurit
D. pedagang
E. agamawan
Kunci Jawaban: E
Pembahasan:
Golongan yang menyebarkan agama Hindu di Nusantara menurut teori Brahmana adalah golongan agamawan atau orang yang ahli agama. Teori Brahmana menjelaskan masuknya agama dan kebudayaan Hindu di Nusantara disebabkan oleh kedatangan golongan agamawan dari India atas undangan penguasa lokal Nusantara. Teori ini didukung oleh prasasti-prasasti peninggalan kerajaan-kerajaan Hindu di Indonesia yang berbahasa Sanskerta dan berhuruf Pallawa. Bahasa dan huruf tersebut hanya terdapat dalam kitab suci Weda dan hanya dikuasai oleh golongan Brahmana.
Jadi, jawaban yang tepat adalah E.
Baca Juga: 4 Teori Masuknya Agama Hindu-Buddha ke Indonesia

Topik: Indonesia Zaman Hindu-Buddha
Subtopik: Kerajaan-Kerajaan Hindu-Buddha
Level: Medium
2. Pada masa kepemimpinan Raja Purnawarman, Kerajaan Tarumanegara berhasil mencapai puncak kejayaannya. Salah satu prestasi yang berhasil di ukir oleh Raja Purnawarman adalah ….
B. pembangunan saluran Gomati dan Candrabaga
C. penaklukan daerah Sumatra melalui ekspedisiPalamayu
D. melakukan kurban sebanyak 20.000 sapi kepada brahmana
E. menjadikan Tarumanegara sebagai pusat pembelajaran agama Buddha
Kunci Jawaban: B
Pembahasan:
Kemajuan Kerajaan Tarumanegara terjadi saat kerajaan ini dipimpin oleh raja yang bernama Purnawarman. Sebagai seorang raja, Purnawarman mengeluarkan beberapa kebijakan yang mempunyai tujuan untuk mensejahterakan rakyatnya seperti membangun saluran air Gomati dan Candrabaga yang bertujuan sebagai sarana irigasi bagi pertanian masyarakat juga sebagai sarana untuk mengontrol banjir di wilayah hilir.
Jadi, jawaban yang tepat adalah B.
Baca Juga: Sejarah Kerajaan Kutai, Tarumanegara, dan Kalingga

Topik: Kehidupan Awal Masyarakat Indonesia
Subtopik: Kebudayaan Awal Masyarakat Indonesia
Level: Medium
3. Tradisi gerabah di wilayah Nusantara, mendapat pengaruh besar dari kebudayaan ….
B. Sa Huynh
C. Dongson
D. Ngandong
E. Bacson-Hoabinh
Kunci Jawaban: B
Pembahasan:
Tradisi gerabah Nusantara pada masa perundagian, mendapat pengaruh kuat dari kebudayaan Sa Huynh. Kebudayaan Sa Huynh merupakan tradisi gerabah yang berasal dari selatan Vietnam. Kebudayaan ini menghasilkan banyak jenis beberapa diantaranya seperti keramik hias dan guci.
Jadi, jawaban yang tepat adalah B.
Baca Juga: Pembabakan Zaman Praaksara Berdasarkan Arkeologi

Topik: Persamaan dan Perbedaan Manusia Purba
Subtopik: Manusia Purba di Indonesia
Level: HOTS
4. Di abad ke-19 salah satu ilmuwan yang bernama Charles Darwin, mengemukakan sebuah teori mengenai evolusi manusia. Teori yang dikemukakan oleh Darwin ini sering ditafsirkan bahwa manusia berasal dari kera. Teori ini selain didukung oleh beberapa ilmuwan juga mendapat tentangan dari berbagai kalangan, hal itu dikarenakan ….
B. bertentangan dengan pandangan kitab suci agama-agama samawi tentang penciptaan
C. Darwin mengemukakanteori hanya berdasarkan asumsi
D. bukti-bukti peninggalan yang diperlihatkan dianggap tidak relevan
E. teori yang dikemukakan Darwin tidak melalui tahapan ilmiah yang objektif
Kunci Jawaban: B
Pembahasan:
Teori evolusi manusia yang dikemukakan oleh Darwin, merupakan teori yang menyatakan bahwa pada awalnya manusia merupakan hasil evolusi dari makhluk “hewan” berakal budi yang berkembang dan bertahan hidup dengan menyesuaikan diri pada perkembangan zaman. Sebagian orang menafsirkan bahwa teori Darwin menyebutkan manusia berasal dari kera yang kemudian timbul istilah missing link atau mata rantai yang hilang antara manusia dan kera. Teori Darwin ini tentunya menjadi kontroversi, karena ada yang mendukung dan juga yang bersikap kontra. Adapun orang-orang yang bersikap kontra berpendapat bahwa teori yang diungkap oleh Darwin ini bertentangan dengan asal usul penciptaan manusia yang disebutkan dalam kitab suci agama-agama samawi.
Jadi, jawaban yang tepat adalah B.
Baca Juga: Jenis-jenis Manusia Purba di Dunia

Topik: Persamaan dan Perbedaan Manusia Purba
Subtopik: Manusia Purba di Dunia
Level: HOTS
Perhatikan gambar berikut ini!

(Sumber gambar: https://humanorigins.si.edu/evidence/human-fossils/species/homo-heidelbergensis)
5. Gambar tersebut merupakan gambaran dari jenis manusia purba Homo heidelbergensis. Adapun keahlian yang dimiliki oleh jenis manusia purba ini adalah ….
B. mulai menggunakan peralatan berburu yang lebih maju
C. hanya memakan tumbuh-tumbuhan
D. mampu membuat lukisan-lukisan indah di dinding gua
E. sudah mulai hidup bercocok tanam
Kunci Jawaban: B
Pembahasan:
Salah satu keahlian yang dimiliki oleh Homo heidelbergensis adalah mampu membuat peralatan berburu yang lebih maju hal tersebut dibuktikan dengan penemuan mata tombak dan pentungan yang ditemukan disekitar fosil manusia purba ini. Manusia jenis ini diketahui sudah memakan makanan hewan bertubuh besar seperti badak, beruang dan rusa.
Jadi, jawaban yang tepat adalah B.

Topik : Kehidupan Awal Masyarakat Indonesia
Subtopik : Perkembangan Kehidupan dan Kebudayaan Awal Masyarakat Indonesia
Level Kognitif : Hard
6. Perhatikan pernyataan berikut ini!
(1) Sudah mengenal teknologi seperti cara mengecor dan mencetak logam.
(2) Munculnya perdagangan dengan mata uang berupa koin.
(3) Kehidupan sudah maju dan teratur.
(4) Adanya pembagian kerja berdasarkan jenis pekerjaan.
(5) Susunan masyarakat sudah mengenal kepala adat, pemimpin upacara, masyarakat biasa dan budak.
Berdasarkan pernyataan di atas, ciri-ciri kehidupan sosial ekonomi masa perundagian yang paling tepat adalah ….
- (1), (2), dan (3)
- (2), (3), dan (4)
- (1), (3), dan (5)
- (2), (4), dan (5)
- (3), (4), dan (5)
Kunci Jawaban: C
Pembahasan:
Pada masa perundagian, muncul golongan baru yaitu golongan undagi. Golongan undagi adalah golongan yang terampil dalam melakukan jenis usaha tertentu, terutama pembuatan logam. Kebudayaan logam ini berkembang menjadi kebudayaan Dongson. Sebagai gambaran, berikut ciri-ciri kehidupan sosial ekonomi masa perundagian:
- Sudah mengenal teknologi seperti cara mengecor dan mencetak logam.
- Munculnya perdagangan dengan sistem barter.
- Kehidupan sudah maju dan teratur.
- Adanya pembagian kerja berdasarkan jenis kelamin.
- Susunan masyarakat sudah mengenal kepala adat, pemimpin upacara, masyarakat biasa dan budak.
- Pemujaan roh nenek moyang semakin berkembang, alat-alat yang dihasilkan seperti pada jaman batu besar dan jaman perunggu.
Jadi, jawaban yang tepat adalah C.
Baca Juga: Pengertian Zaman Praaksara dan Corak Kehidupan Masyarakatnya

SOSIOLOGI
Topik: Ragam Gejala Sosial di Masyarakat II
Subtopik: Nilai Sosial di Masyarakat
Level Kognitif: MOTS
1. Kiki menemukan dompet yang berisi sejumlah uang dan kartu identitas. Setelah melihat kartu identitas, ternyata dompet tersebut milik kakek yang merupakan tetangga Kiki. Kiki pun mengembalikan dompet tersebut kepada pemiliknya dengan isi yang utuh. Sang kakek mengucapkan terima kasih dan memuji sikap jujur Kiki. Perilaku Kiki menunjukkan kepatuhan terhadap nilai ….
A. logika
B. moral
C. estetika
D. vital
E. material
Kunci Jawaban: B
Pembahasan:
Nilai moral merupakan segala sesuatu yang berkaitan dengan baik atau buruknya perilaku manusia. Perilaku Kiki mengembalikan dompet tanpa mengambil isinya menunjukkan kepatuhan terhadap nilai moral. Apabila Kiki mengambil isi dompet tersebut dan tidak mengembalikan kepada pemiliknya berarti ia mengambil hak orang lain atau mencuri. Tindakan tersebut merupakan tindakan yang dianggap buruk oleh masyarakat.
Berdasarkan penjelasan tersebut, jawaban yang tepat adalah B.
Baca Juga: Nilai, Norma, dan Keteraturan Sosial

Topik: Pengantar Penelitian Sosial
Subtopik: Tahapan Penelitian Sosial
Level Kognitif: HOTS
2. Sahila melakukan penelitian dengan judul “Strategi Pemilik Toko Konvensional dalam Menghadapi Persaingan dengan Toko Online di Kota Tangerang”. Berdasarkan judul tersebut, rumusan masalah yang dapat digunakan oleh Sahila adalah ….
A. Bagaimana latar belakang dan status sosial pemilik toko konvensional di Kota Tangerang?
B. Bagaimana strategi pemilik toko konvensional dalam mempertahankan eksistensinya di tengah perkembangan toko online?
C. Adakah hubungan lebih tingginya harga barang-barang di toko konvensional dengan perkembangan toko online?
D. Mengapa toko konvensional mengalami penurunan jumlahnya daripada toko online?
E. Mengapa toko online dapat menggeser keberadaan toko konvensional?
Kunci Jawaban: B
Pembahasan:
Rumusan masalah dinyatakan dalam bentuk kalimat tanya dan menggambarkan fokus permasalahan yang diteliti. Rumusan pertanyaan yang tepat ditunjukkan oleh pilihan B. Dilihat dari judul penelitian, Sahila ingin mengungkapkan strategi pemilik toko konvensional dalam mempertahankan eksistensinya di tengah perkembangan toko online. Untuk memperoleh pertanyaan yang menggambarkan fokus penelitian dan tujuan penelitian yang ingin diketahui oleh peneliti.
Jadi, jawaban yang tepat ditunjukkan oleh pilihan B.
Baca Juga: Teknik Analisis Data Kualitatif pada Penelitian Sosial

Topik: Penyimpangan dan Pengendalian Sosial
Subtopik: Bagaimana Penyimpangan Dikendalikan?
Level Kognitif: LOTS
Perhatikan pernyataan berikut!
(1) Pengendalian dilakukan sebelum terjadinya pelanggaran.
(2) Salah satu dari sifat pengendalian sosial.
(3) Pengendalian dilakukan salah satunya melalui proses sosialisasi.
(4) Mencegah terjadinya pelanggaran sosial.
3. Pernyataan tersebut menunjukkan pengendalian sosial yang bersifat ….
A. manifes
B. preventif
C. represif
D. persuasif
E. koersif
Kunci Jawaban: B
Pembahasan:
Ada dua sifat pengendalian sosial, yaitu preventif dan represif.
1. Preventif adalah pengendalian sosial yang dilakukan sebelum terjadinya pelanggaran. Pengendalian preventif dapat dilakukan melalui proses sosialisasi yang dilakukan pada individu agar individu mengetahui batasan berperilaku sehingga tidak melanggar nilai dan norma di masyarakat.
2. Represif adalah pengendalian sosial yang ditujukan untuk memulihkan keadaan seperti sebelum terjadi pelanggaran. Pengendalian ini dilakukan setelah orang melakukan suatu tindakan penyimpangan.
Berdasarkan penjelasan tersebut, jawaban yang tepat adalah B.
Baca Juga: Pengendalian Sosial: Pengertian, Tujuan, Cara & Contoh

Topik: Ragam Gejala Sosial di Masyarakat II
Subtopik: Sosialisasi
Level Kognitif: HOTS
4. Meskipun usianya terbilang masih muda, Pak Suhud terpilih menjadi ketua RT melalui musyawarah mufakat. Ketika menjadi ketua RT, Pak Suhud dituntut agar mampu menyelesaikan permasalahan-permasalahan warganya secara bijak dan tegas. Oleh karena ketegasannya, ia disegani oleh para warga dan tokoh-tokoh masyarakat. Media sosialisasi tersebut bagi Pak Suhud berfungsi sebagai ….
A. ajang berkompetisi antarwarga dalam organisasi
B. sarana mencari pemimpin melalui pemilihan secara adil
C. pembentuk kepribadian yang tanggap terhadap masalah kelompok masyarakat
D. sarana mencari kawan sebagai pelengkap kebutuhan bertetangga
E. sarana menciptakan kestabilan dan keharmonisan dalam bidang politik
Kunci Jawaban: C
Pembahasan:
Organisasi di lingkungan masyarakat seperti Rukun Tetangga (RT) dapat menjadi tempat sosialisasi dan media pembentuk kepribadian seseorang, yaitu menjadi pribadi yang tanggap terhadap masalah kelompok masyarakat. Pilihan A, B, dan D tidak tepat karena tidak relevan dengan fungsi organisasi RT sebagai media sosialisasi seperti ilustrasi pada soal. Adapun pilihan E tidak tepat karena ilustrasi soal tidak menunjukkan unsur politik di lingkungan masyarakat.
Berdasarkan penjelasan tersebut, jawaban yang tepat adalah C.
Baca Juga: Sosialisasi: Pengertian, Fungsi, Agen, Tahapan & Bentuk

Topik: Metode Penelitian Kualitatif
Subtopik: Pengumpulan Data Penelitian Kualitatif I (Observasi)
Level Kognitif: MOTS
5. Asti merupakan seorang mahasiswa program studi psikologi. Ia sedang melakukan penelitian di SMA Trijaya. Asti ingin meneliti dan mengamati langsung kegiatan siswa dengan mencari tahu sebab yang dapat membuat prestasi belajar mereka menurun. Asti sebaiknya menggunakan teknik ….
A. survei lapangan
B. studi pustaka
C. dokumentasi
D. kuesioner
E. observasi
Kunci Jawaban: E
Pembahasan:
Observasi disebut juga pengamatan. Pengamatan merupakan suatu metode penelitian non-survei. Dengan metode ini peneliti mengamati secara langsung perilaku para subjek penelitiannya. Dalam waktu yang relatif lama seorang peneliti dapat memperoleh banyak kesempatan untuk mengumpulkan data yang bersifat mendalam dan rinci.
Berdasarkan penjelasan tersebut, jawaban yang tepat adalah E.
Baca Juga: Metode Penelitian Kualitatif: Pengertian, Ciri, Jenis & Contohnya

Topik : Lembaga, Penyimpangan, dan Pengendalian Sosial
Subtopik : Peran lembaga dalam upaya pengendalian sosial
Level Kognitif : Hard
6. Perhatikan ilustrasi berikut!
Pak Gino adalah seseorang yang sangat dihormati oleh warga sekitarnya, sebab Pak Gino memiliki ucapan, perilaku, dan etika yang bisa diteladani oleh warga di sekitarnya. Tak jarang masyarakat mengikuti nasihat dan pemikirannya sehingga memengaruhi masyarakat untuk berperilaku baik seperti dirinya.
Pengendalian sosial pada kasus tersebut dilakukan oleh ….
- keteladanan
- lembaga adat
- lembaga agama
- tokoh masyarakat
- lembaga pendidikan
Kunci Jawaban: D
Pembahasan:
Beberapa lembaga yang memiliki fungsi untuk melakukan pengendalian sosial antara lain sebagai berikut.
- Lembaga agama, ajaran agama mengatur para umatnya untuk berbuat kebajikan. Jika ada pelanggaran, maka akan mendapatkan dosa.
- Lembaga adat, aturan dalam masyarakat yang bersifat lisan, hanya berlaku di daerah tersebut, berasal dari nenek moyang.
- Lembaga pendidikan, tata tertib yang ada di sekolah diharapkan mampu mengendalikan perilaku siswanya.
- Tokoh masyarakat, seseorang yang memiliki pengaruh besar dalam lingkungan masyarakat, biasanya ia akan disegani dan dihormati karena sifat yang baik, sikap yang bijak, dan wawasan yang dimilikinya luas.
Berdasarkan pemaparan tersebut, maka jawaban yang tepat adalah D.
Baca Juga: Lembaga Sosial: Pengertian, Fungsi, Ciri & Jenisnya

Gimana, gimana? Setelah selesai melatih pemahaman kamu melalui latihan soal ini, ada baiknya kamu juga mulai mengulas materi-materi pelajaran yang sudah dipelajari kamu di sekolah selama ini.
Kalau ingin berlatih soal tentang materi di atas, yuk ikut tryout gratis dari ruanguji sekarang! Selain soal, juga langsung ada pembahasan dan penilaian, lho!




