Pengertian Diagram Pencar, Cara Membuat & Contoh Gambar | Matematika Kelas 11

Kali ini, kita akan belajar tentang diagram pencar atau scatter plot! Seperti apa sih cara membuat diagram ini? Yuk, pelajari selengkapnya di artikel Matematika kelas 11 ini, ya!
—
Dalam kehidupan sehari-hari, kita pasti sering menemukan dua hal yang tampaknya saling berhubungan. Misalnya, hubungan antara waktu belajar dengan nilai ujian, hubungan antara kualitas jam tidur dengan kondisi tubuh keesokan harinya, hubungan antara lama waktu scrolling TikTok dengan konsentrasi di sekolah, dan masih banyak lagi.
Ternyata, untuk memastikan apakah hubungan tersebut benar-benar ada atau hanya kebetulan semata, kita bisa mengujinya menggunakan Matematika, loh. Wah, gimana tuh caranya?
Ada satu cara sederhana yang bisa kita gunakan, yaitu dengan diagram pencar atau scatter plot. Yuk, kita bahas lebih dalam mulai dari pengertian, cara membuat, sampai contoh diagram pencar yang bisa kamu coba sendiri!
Pengertian Diagram Pencar
Diagram pencar adalah grafik yang digunakan untuk menampilkan hubungan antara dua variabel dalam bentuk titik-titik pada bidang koordinat. Diagram ini sering disebut juga sebagai diagram scatter atau scatter plot. Tujuan utama dari diagram pencar ialah untuk melihat pola atau korelasi antara dua data numerik yang sedang dianalisis.
Diagram ini sering digunakan sebagai alat analisis statistik dalam berbagai bidang, seperti ekonomi, sains, dan bisnis. Misalnya, memahami tren atau pola yang terjadi pada data. Dari hasilnya, kita dapat menentukan apakah dua variabel memiliki hubungan positif, negatif, atau tidak punya korelasi sama sekali.
Nah, dalam diagram pencar, satu variabel ditempatkan pada sumbu X (horizontal) dan variabel lainnya ditempatkan pada sumbu Y (vertikal). Jika titik-titik dalam diagram membentuk pola tertentu, seperti garis lurus atau lengkungan, maka bisa disimpulkan kalau ada hubungan antara dua variabel tersebut.
Baca Juga: Cara Penyajian Data dalam Tabel dan Diagram beserta Contoh
Jenis-Jenis Diagram Pencar
Terdapat beberapa jenis diagram pencar yang dapat digunakan untuk menganalisis hubungan antara dua variabel. Kamu bisa melihat jenis-jenis beserta gambar diagram pencar pada penjelasan berikut ini ya.
a. Diagram Pencar Korelasi Positif
Ketika titik-titik pada diagram membentuk pola yang naik dari kiri ke kanan, berarti terdapat hubungan positif antara variabel X dan Y.

Gambar diagram pencar korelasi positif. (Sumber: vksapp.com)
b. Diagram Pencar Korelasi Negatif
Jika titik-titik pada diagram membentuk pola yang menurun dari kiri ke kanan, berarti terdapat hubungan negatif antara kedua variabel.

Gambar diagram pencar korelasi negatif. (Sumber: vksapp.com)
c. Diagram Pencar Tanpa Korelasi
Jika titik-titik tersebar secara acak dan tidak membentuk pola tertentu, maka kedua variabel tidak memiliki hubungan yang signifikan.

Gambar diagram pencar tanpa korelasi. (Sumber: vksapp.com)
Contoh Diagram Pencar
Biar makin paham, yuk coba perhatikan beberapa contoh diagram pencar berikut ini!

Contoh diagram pencar. (Sumber: canva.com)
—
Sebelum kita bahas tentang cara membuat diagram pencar, kalo masih ada poin-poin yang belum kamu mengerti, mending belajar sama ahlinya, deh. Belajar bareng kakak-kakak pengajar di Ruangguru Privat Matematika misalnya.
Belajar nggak cuma menyenangkan, tapi kamu juga bakal diajari konsepnya sampai paham! Para pengajar di Ruangguru Privat juga sudah terstandarisasi kualitasnya, loh. Kamu juga bisa pilih nih, mau diajarkan secara langsung (offline) atau daring (online). Fleksibel, kan? Untuk info lebih lanjut, cuss klik link berikut!
Cara Membuat Diagram Pencar dan Contohnya
Untuk membuat diagram pencar, terdapat beberapa langkah yang perlu dilakukan agar data dapat disajikan dengan jelas dan mudah dipahami, di antaranya:
Baca Juga: Istilah-Istilah Statistik Data Tunggal dalam Matematika
1. Menyiapkan Data
Langkah pertama yang perlu dilakukan adalah mengumpulkan data yang akan dianalisis. Data ini terdiri dari dua variabel yang saling berkaitan, misalnya waktu belajar dengan nilai ujian, tinggi badan dengan berat badan ideal, atau lama bermain ponsel dengan tingkat konsentrasi belajar. Pastikan data yang kamu gunakan lengkap dan sesuai dengan tujuan pembahasan agar hasil analisisnya lebih akurat.
Sebagai contoh, kita punya dua dataset, yaitu data “jumlah jam belajar”, dan data “nilai ujian” siswa.
2. Menyusun Data dalam Bentuk Tabel
Setelah data terkumpul, susunlah data tersebut ke dalam tabel sederhana. Tabel ini berisi pasangan nilai dari kedua variabel. Dengan adanya tabel, kamu akan lebih mudah melihat data secara keseluruhan untuk dibuat ke dalam grafik.
Tabel Hubungan antara Jam Belajar Siswa dengan Nilai Ujian
| Jumlah Jam Belajar (per Hari) | Nilai Ujian |
| 1 | 55 |
| 2 | 60 |
| 3 | 65 |
| 4 | 72 |
| 5 | 78 |
| 6 | 85 |
| 7 | 88 |
| 8 | 92 |
3. Menentukan Sumbu X dan Sumbu Y
Selanjutnya, buat dua garis utama, yaitu sumbu X (mendatar) dan sumbu Y (tegak). Tentukan variabel mana yang akan diletakkan pada masing-masing sumbu. Biasanya, variabel bebas ditempatkan pada sumbu X, sedangkan variabel terikat berada pada sumbu Y. Jangan lupa juga untuk memberi skala yang sesuai agar grafik terlihat rapi dan proporsional.
Berdasarkan data pada tabel di atas, misalnya, data jam belajar kita letakkan di sumbu X, dan data nilai ujian kita letakkan di sumbu Y.
4. Memplot Titik-Titik Data
Setelah sumbu selesai dibuat, plot data-data dari tabel ke dalam grafik. Setiap pasangan nilai digambarkan dalam bentuk satu titik. Lakukan tahap ini dengan teliti supaya tidak terjadi kesalahan posisi yang dapat mempengaruhi hasil analisis.
Nah, kalau kita plot ke dalam grafik, gambarnya akan seperti ini:
(X1, Y1) = (1, 55) → 1 jam belajar, nilai 55
(X2, Y2) = (2, 60) → 2 jam belajar, nilai 60
(X3, Y3) = (3, 65) → 3 jam belajar, nilai 65
(X4, Y4) = (4, 72) → 4 jam belajar, nilai 72
(X5, Y5) = (5, 78) → 5 jam belajar, nilai 78
(X6, Y6) = (6, 85) → 6 jam belajar, nilai 85
(X7, Y7) = (7, 88) → 7 jam belajar, nilai 88
(X8, Y8) = (8, 92) → 8 jam belajar, nilai 92
Diagram Pencar yang Menggambarkan Hubungan antara Jam Belajar dengan Nilai Ujian

5. Mengamati dan Menafsirkan Hasil
Tahap terakhir adalah mengamati pola dari titik-titik yang telah dibuat. Perhatikan apakah titik-titik tersebut membentuk pola tertentu, seperti cenderung naik, turun, atau menyebar secara acak. Dari pola ini, kamu bisa mengetahui jenis hubungan antar variabel, apakah termasuk korelasi positif, negatif, atau tidak ada hubungan sama sekali. Selanjutnya, hasil pengamatan ini dapat digunakan untuk menarik kesimpulan.
Berdasarkan hasil pengamatan terhadap diagram pencar, terlihat bahwa titik-titik data membentuk pola yang cenderung naik dari kiri ke kanan. Pola ini menunjukkan bahwa semakin lama waktu belajar yang dilakukan siswa, semakin tinggi pula nilai ujian yang diperoleh.
Dengan kata lain, terdapat hubungan yang bersifat positif antara waktu belajar dan hasil belajar. Oleh karena itu, dapat disimpulkan bahwa kebiasaan belajar yang lebih teratur dan lebih lama berperan penting dalam membantu meningkatkan prestasi belajar siswa.
Baca Juga: Statistika Deskriptif dalam Data Berinterval, Rumus & Contohnya
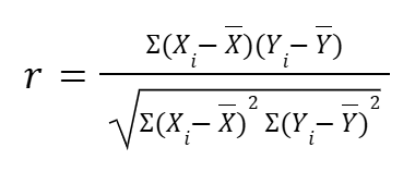
Rumus Diagram Pencar dan Interpretasi Menggunakan Koefisien Korelasi Pearson
Meskipun sebenarnya diagram pencar tidak memiliki rumus spesifik, ada beberapa metode statistik yang dapat digunakan untuk menganalisisnya, seperti Koefisien Korelasi Pearson. Berikut adalah rumus diagram pencar sesuai Koefisien Korelasi Pearson:

Di mana:
- Xi dan Yi adalah nilai individual dari variabel X dan Y.
dan
adalah rata-rata dari masing-masing variabel.
Interpretasi diagram pencar:
- r mendekati +1: Korelasi positif kuat.
- r mendekati -1: Korelasi negatif kuat.
- r mendekati 0: Tidak ada korelasi signifikan.
Contoh Soal Diagram Pencar
Oke, biar kamu semakin paham, yuk kerjakan contoh soal di bawah ini!
Seorang peneliti ingin mengetahui hubungan antara jumlah langkah yang ditempuh setiap hari dengan jumlah kalori yang terbakar. Berikut adalah data yang diperoleh:
| Hari | Jumlah Langkah | Kalori Terbakar |
| Senin | 3.000 | 200 |
| Selasa | 5.000 | 350 |
| Rabu | 7.000 | 500 |
| Kamis | 9.000 | 650 |
| Jumat | 11.000 | 800 |
Buatlah diagram pencar berdasarkan data tersebut dan tentukan apakah ada hubungan antara jumlah langkah dengan kalori yang terbakar!
Coba kamu kerjakan soal di atas bersama teman-temanmu, lalu coba bandingkan diagram pencar yang kalian buat, ya.
Baca Juga: Rangkuman Materi Matematika Kelas 11 Kurikulum Merdeka
—
Nah, itulah penjelasan lengkap mengenai diagram pencar atau scatter plot. Dengan memahami cara membuat dan menginterpretasi diagram pencar, kita dapat memperoleh wawasan yang lebih mendalam mengenai pola atau hubungan data.
Selain itu, diagram pencar juga sering digunakan untuk analisis statistik dan pengambilan keputusan berbasis data, baik dalam dunia akademik dan profesional. Oleh karena itu, mempelajari cara membuat diagram pencar dan contohnya dapat menjadi ilmu yang sangat bermanfaat untuk kehidupan.
Kalo kamu merasa masih belum begitu paham dengan materi yang udah dijelaskan di artikel ini, kamu bisa coba tonton video penjelasan lengkapnya di ruangbelajar. Di sana, ada konsep kilatnya juga, lho! Membantu kamu lebih mudah memahami materi dalam waktu singkat. Yuk, buktikan sekarang!
Referensi:
https://static.buku.kemdikbud.go.id/content/pdf/bukuteks/kurikulum21/Matematika-BS-KLS-XI.pdf (Diakses pada 7 April 2025)
https://www.scribd.com/document/781759455/Diagram-Pencar-atau-Diagram-Scatterhttps://vksapp.com/dictionary/scatter-plot (Diakses pada 7 April 2025)
Sumber Gambar:
https://vksapp.com/dictionary/scatter-plot (Diakses pada 7 April 2025)
https://marketplace.canva.com/EAGQdCBvG7c/1/0/1131w/canva-diagram-pencar-statistika-bivariat-poster-matematika-hijau-kuning-ceria-0sCxAVJ_DtE.jpg (Diakses pada 7 April 2025)
Artikel ini telah disunting oleh Hani Ammariah.



